1. Nguồn gốc và thành phần của hoạt chất Azoxystrobin
Nguồn gốc
Hoạt chất Azoxystrobin được sản xuất từ nấm Oudemansiella mucida và Strobilurus tenacellus. Loại nấm này có màu trắng hoặc nâu nhỏ thường được tìm thấy trong các khu rừng châu Âu.
Hoạt chất này được tổng hợp lần đầu tiên bởi Tiến sĩ Christopher Godfrey tại Trung tâm Nghiên cứu Quốc tế Hill của Jealott ở Bracknell (Anh).
Thành phần
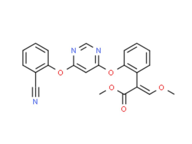
- Hoạt chất có công thức hóa học là C22H17N3O5

Cấu trúc phân tử của hoạt chất Azoxystrobin.
- Đặc điểm của hoạt chất Azoxystrobin có tính lưu dẫn. Do có đặc tính này nên hoạt chất này được hấp thu từ rễ và được vận chuyển qua hệ thống mạch đi khắp các bộ phận của cây (di chuyển một chiều hướng ngọn).
- Hoạt chất Azoxystrobin có dạng huyền phù (hay còn gọi là thuốc sữa), có ký hiệu là SC..
2. Cơ chế hoạt động của hoạt chất Azoxystrobin
Azoxystrobin hoạt động với cơ chế gây ức chế mạnh lên quá trình trao đổi chất và ngăn cản sự hình thành của vách tế bào dẫn đến kết quả bào tử không nảy mầm, không sinh sản và nấm sợi không phát triển.
Hoạt chất này tấn công và tiêu diệt được nấm bệnh ở tất cả các giai đoạn phát triển của chúng. Ngay cả nấm bệnh đang ở giai đoạn bào tử thì cũng dễ dàng bị Azoxystrobin tiêu diệt.
Ethylene là hormone thực vật quan trọng, chịu trách nhiệm nhiều cho nhiều quá trình sinh lý trong cây trồng như quá trình chín của trái cây. Hoạt chất Azoxystrobin còn có khả năng ngăn cản quá trình tổng hợp Ethylene. Điều này giúp cây trồng cứng cáp hơn, xanh lá thậm chí tăng cường tuổi thọ cho cây trồng.
3. Công dụng của hoạt chất Azoxystrobin
Hoạt chất Azoxystrobin được sử dụng trong việc phun phòng và phun trừ bệnh nấm xuất hiện trên nhiều loại cây trồng. Do có đặc tính lưu dẫn nên Azoxystrobin được hấp thu từ rễ và được vận chuyển qua hệ thống bó mạch lên tới tận chóp lá trên đỉnh cây, đầu cành,…
Hoạt chất Azoxystrobin có thể chống lại 4 nhóm nấm gây hại chính là Ascomycetes (nấm túi), Basidiomycetes (nấm đảm), Deuteromycetes (nấm bất toàn), Oomycetes (nấm trứng).
Một số sâu bệnh hại mà hoạt chất Azoxystrobin đặc trị như:
- Thán thư trên cây xoài, dưa hấu, nho, ớt, thanh long, vải,…
- Đạo ôn, khô vằn, lem lép hạt, bạc lá,… trên cây lúa.
- Rỉ sắt, nấm hồng, thán thư,… trên cây cà phê.
- Đốm vòng trên cây bắp cải, hành, cà chua, cà tím,…
- Phấn trắng, vàng rụng lá, nứt thân xì mủ,… trên cây cao su.

Hình ảnh một số sâu bệnh hại hoạt chất Azoxystrobin đặc trị.
Ngoài ra, Hoạt chất Azoxystrobin có thể kết hợp với một số chất khác như Chlorothalonil, Difenoconazole, Tricyclazole, Dimethomorph,… để có hiệu quả tốt hơn.
4. Ưu điểm và nhược điểm của hoạt chất Azoxystrobin
Ưu điểm
- Azoxystrobin không bị rửa trôi khỏi lớp đất mặt do đó nguy cơ làm ô nhiễm nguồn nước mặt là không xảy ra.
- Là chất ít độc cho người và môi trường xung quanh.
- Thời gian bán phân hủy trong đất của hoạt chất Azoxystrobin là chưa đến 2 tuần, điều này dẫn đến môi trường ít bị ảnh hưởng do không tồn dư trong đất lâu.
- Azoxystrobin không bị rửa trôi khỏi lớp đất mặt do đó nguy cơ làm ô nhiễm nguồn nước mặt là không xảy ra.
- Trong cây trồng, hoạt chất Azoxystrobin sẽ được chuyển hóa thành 15 hợp chất khác và chiếm khoảng 5% dư lượng. Do đó, dư lượng Azoxystrobin trong cây trồng là rất thấp.
- Azoxystrobin là hoạt chất không gây độc cho ong hay các loại côn trùng có lợi cho cây như giun đất.
Nhược điểm
- Quá trình quang hóa là con đường chủ yếu khiến hoạt chất bị phân giải. Do đó dưới tác động của ánh nắng mặt trời Azoxystrobin rất dễ bị phân giải.
5. Một số loại thuốc có chứa hoạt chất Azoxystrobin phổ biến hiện nay
Sau đây là một số sản phẩm có chứa hoạt chất Azoxystrobin được sử dụng phổ biến trên thị trường hiện nay:
-
Amistar Top 325 SC: Thường được dùng để trị các bệnh thán thư, khô vằn, đạo ôn, đốm lá, khô nứt vỏ,… vô cùng hiệu quả.

Hình thuốc trừ sâu Amistar Top 325SC
-
Envio 250SC: Được dùng để kiểm soát các bệnh như thán thư trên cây xoài, sương mai trên cây dưa hấu, lem lép hạt trên cây lúa, đốm nâu trên cây thanh long,…

Hình thuốc trừ sâu Envio 250SC
-
Ortiva 600SC: Là thuốc trừ bệnh phổ rộng, đặc trị nhiều nấm bệnh khó trị trên đa dạng cây trồng như bệnh thán thư, đốm vòng, sương mai, rỉ sắt, đốm lá, vàng rụng lá, nứt vỏ khô mủ,…

Hình thuốc trừ bệnh Ortiva 600SC
-
Map Hero 340WP: Thuốc trừ bệnh phòng và trị các bệnh như mốc sương, thối thân, đốm nâu, thán thư, sương mai, đốm vòng trên cây trồng.

Hình thuốc trừ sâu Map Hero 340WP
-
Custodia 320SC: Phòng trừ hiệu quả các bệnh như khô vằn, đạo ôn, thns thư,… trên nhiều cây trồng, nhất là trên cây lúa.

Hình thuốc trừ sâu Custodia 320SC
6. Lưu ý khi sử dụng hoạt chất Azoxystrobin để đảm bảo an toàn và hiệu quả hơn
- Chọn thời điểm phù hợp: Để đảm bảo hiệu quả và tránh nguy hại cho cây trồng (phun thuốc khi thấy dấu hiệu của sâu bệnh hại, đối với lúa thì nên dùng hoạt chất khi chuẩn bị trổ và trổ lúa đều,…)
- Bảo vệ sức khỏe: Đeo khẩu trang, găng tay và áo phòng hộ. Đọc kỹ hướng dẫn trước khi sử dụng.
- Bảo quản đúng cách: Lưu trữ hoạt chất Azoxystrobin ở nơi khô ráo, mát mẻ và tránh ánh sáng mặt trời trực tiếp. Đảm bảo rằng thuốc không ở nhiệt độ cao hoặc lạnh.
- Theo dõi hiệu quả và phản ứng của cây trồng để đảm bảo hiệu quả điều trị và phòng bệnh. Nếu có bất kỳ dấu hiệu nào, hãy liên hệ với chuyên gia nông nghiệp để được tư vấn thêm.
Trên đây là những thông tin hữu ích cũng như công dụng của hoạt chất Azoxystrobin đối với cây trồng. Nông Dược XANH mong rằng các nhà nông có thể diệt trừ các loại sâu, bệnh hại cho cây trồng và bảo vệ được một mùa màng bội thu. Mọi chi tiết thắc mắc, bà con vui lòng liên hệ sđt hotline 0966616664 để được tư vấn miễn phí và chi tiết!
Mua chung giá tốt
Hệ thống cửa hàng
Kiến thức nông nghiệp